Skip to content
Our Results
Infrastructure
Menu Toggle
School Building
Swachh Vidyalaya
Sustainable Campus
Classrooms
Labs
Fire Safety
Mandatory Disclosure
Menu Toggle
No objection certificate
Self financed independent school
Recognition Certificate of PNNPS
Built up area of PNNPS
Parents teachers association
School Managing committee information
Self affidavit of school
Transfer certificate sample
Society of Pnnps
Self certification letter of affiliation
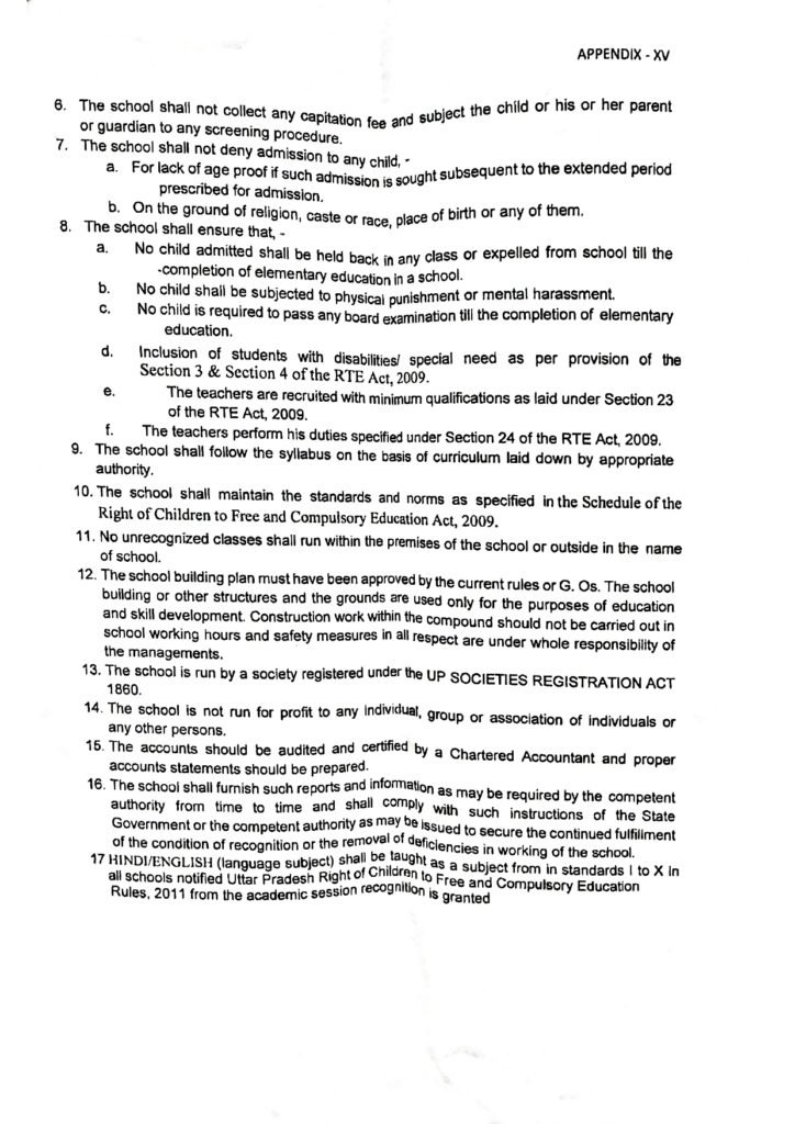
As per the Section (2.4.9) of Affiliation
Details of Teachers
Details of School Infrastructure
Self Affidavit of School
Affiliation Letter
Testimonials
Gallery
Menu Toggle
Events
Online Registration
Home
About
Menu Toggle
About us
Our Vision and Mission
Chairman’s Message
Director’s Message
Principal’s Message
SDG Certified School
Our Faculties
Top Awards Received
News
Admission
Menu Toggle
Prospectus
Admission Process
Fees Structure
Streams
Academics
Menu Toggle
Our Academics
Time Table
Academic Calendar
Little Star Programme
Hybrid Programme
Synchronise Programme
Entrance Exam Result
Transfer Certificate Record
Facilities
Menu Toggle
Equipped Classroom Facility
AI & Robotics Lab
Library Facility
Medical Care Facility
Transport Facility
Sanitation Facilities
Safety & Security
Sport Facilities
Activities
Menu Toggle
Extra Curricular Activity
Nurture with Nature
Culture Events
Annual Fest Celebration
Convocation
Contact
Portion
Menu Toggle
Exam Portion
Enroll Now
Enroll Now
Main Menu
Home
About
Menu Toggle
About us
Top Awards Received
Our Vision and Mission
Chairman’s Message
Director’s Message
Principal’s Message
Our Faculties
Top Awards Received
Admission
Menu Toggle
Procpectus
Admission Process
Fee Structure
Streams
Academics
Menu Toggle
Our Academics
Little Star Programme
Hybrid Programme
Synchronise Programme
Entrance Exam Result
Transfer Certificate Record
Facilities
Menu Toggle
Well Equipped Classroom Facility
Library Facility
Medical Care Facility
Transport Facility
Sanitation Facilities
Safety & Security
Sport Facilities
Activities
Menu Toggle
Extra Curricular Activity
Nurture with Nature
Culture Events
Annual Fest Celebration
Convocation
Contact
Portion
Menu Toggle
Exam Portion
Our Results
Infrastructure
Menu Toggle
School Building
Swachh Vidyalaya
Building Greenery
Classrooms
Labs
Fire Safety
Mandatory Disclosure
Menu Toggle
No objection certificate
Self financed independent school
Parents teachers association
School Managing committee information
Self affidavit of school
Transfer certificate sample
Society of Pnnps
Self certification letter of affiliation
As per the Section (2.4.9) of Affiliation
Details of Teachers
DETAILS OF SCHOOL INFRASTRUCTURE
Self affidavit of school
AFFILATION LETTER
Testimonials
Gallery
Menu Toggle
Events
Online Registration
Recognition Certificate of PNNPS
Download
Scroll to Top
WhatsApp us